
8.A【解析】依题意,NP=M一M=(1,-2)(2,3)=(-1,-5),故 COS(MN,NF)=MN·NPI MNIINPI=1726故选A.



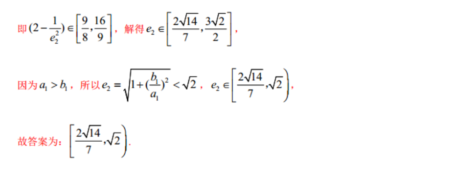
【答】247【详解】如图,绘出椭圆和双曲线图像F10设MF=m,MF2=n,由椭圆定义可得m+n=2a,由双曲线定义可得m-n=2a1,解得m=a+a1,n=a-a1,因为∠F1MF2=90°,所以m2+n2=42,即a2+a2=2c2,由离心率的公式可得+因为43·所以e∈98169162389解得因为>A,所以的=+(<,2072√l4故答案为:
以上就是2021-2022 英语周报 九年级 新目标 35答案,更多英语周报答案请关注本网站。
本文地址: http://www.ncneedu.cn/post/12891.html
文章来源:admin
版权声明:除非特别标注,否则均为本站原创文章,转载时请以链接形式注明文章出处。
2023-04-05admin
2023-04-05admin
2023-04-05admin
2023-04-05admin
2023-04-05admin
2023-04-05admin
2023-02-24admin
2023-02-24admin
2023-02-24admin
2023-02-24admin
扫码二维码
获取最新动态
