


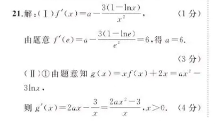
3(1-lnr)21解:(I)f(x)=a分)由题意f'(c)=a3(1-lne)=6,得a=6.(3分)(Ⅱ①由题意知g(x)=xf(x)+2x=ax2-lna则g'(x)=2ax-==2ax2-3>0.(4分)当a≤0时,g(x)<0恒成立,可知g(x)在区间(0,+∞)上单调递减;(5分)2当a>0时,令g"(x)=得√,当:∈(、2)时,g(x)<0,可知g(x)在区间0V2a)上单调递减;(6分)当x∈V2a:+∞)时,g'(x)>0,可知g(x)在N2+∞)上单调递增(7分)②因为g'(x)=2ax-3=2ax2-3当a≤0时,g(x)<0恒成立,可知g(x)在区闫(1,e)上单调递减,显然不合题意;当a>0时,令g(x)=2ax2-3x因为函数g(x)在区间(1,e)上有两个零点,3v2.a>>0,g(1)=a>0,所以即3g(e)=ae2-3>0,la>3得一

20(1)依题意,B=1,p=2,所以C:字(2)设直线MN的方程为x=my+n,与抛物线联立得y2-4my-4n=0,设M(x1,y)M(x2,y2),由PM⊥PN得(x1-1,n1-2)(x2-1,y2-2)=0……6分化简得n2-6n-4m2-8m+5=08分解得n=2m+5或n=-2m+1(舍)所以直线MN过定点(5,-2)12分
以上就是初一英语周报第17期答案,更多英语周报答案请关注本网站。
本文地址: http://www.ncneedu.cn/post/12873.html
文章来源:admin
版权声明:除非特别标注,否则均为本站原创文章,转载时请以链接形式注明文章出处。
2023-04-05admin
2023-04-05admin
2023-04-05admin
2023-04-05admin
2023-04-05admin
2023-04-05admin
2023-02-24admin
2023-02-24admin
2023-02-24admin
2023-02-24admin
扫码二维码
获取最新动态
