

10.D11.A(“水利”属工部,“祭祀”属礼部。)12.A(张居正死后,赵南星调任吏部担任考功郎,与他没有去祈祷不构成因果关系。)13.(1)州、县官员的选拔任用过于轻率,部、寺级别的官员很短的时间内就能谋取为郡守,(朝廷)不考察他的才干品行(“选授”1分,“轻”1分,“计日”1分,“才行”1分)(2)(阉党)将他抓捕下狱,判处赵南星赔偿赃款一万五千两银子,赵南星家一向贫穷,靠亲友捐助才将官司了结。(补全主语1分,“坐”1分,“素”1分,“竣”1分)14.①巡方者提荐的权力已经废止(1分),却有人明知故犯(1分);②巡方者知道赵南星定会追究到底(1分)。【参考译文】赵南星,字梦白,高邑人。被任命为汝宁推官。为政清廉公平,逐渐升迁为户部主事。张居正生重病,朝官集体为他祈祷,赵南星和顾宪成、姜士昌戒约不去。张居正死后,赵南星调任吏部考功郎中。起用担任文选员外郎。上疏陈述天下四大害,说:“杨巍自请退职,左都御史吴时来图谋代替他,但是忌惮户部尚书宋的声望,接连上疏排挤他。副都御史詹仰庇竭力谋取吏部、兵部两部侍郎。大臣尚且这样,凭什么责怪小官呢,这就是所说的不正当的求进之害。礼部尚书沈鲤、侍郎张位、谕德吴中行、南京太仆卿沈思孝相继自请离职,唯独南京礼部侍郎赵用贤在位,词臣黄洪宪之辈常常暗中进谗言诋毁他,谏官唐尧钦、孙愈贤、蔡系周又公开地诋毁污蔑他。为众人表率之人不被所容,小人得志,这就是所说的狡诈之害。州、县官员的选拔任用过于轻率,部、寺级别的官员很短的时间内就能谋取为郡守,不考察他的才千品行。官场一天天污秽,民生一天天凋敵,这就是所说的地方州县之害。乡官的权力比郡守和县令还大,他们横行乡里,无所顾忌,谁也奈何不得。像渭南知县张栋,治理品行之好,天下找不出第二个来,约柬抑制退休居乡官员,结被人谗言中伤没有获得升迁,这就是所说的乡官之害。这四害不除,国家就得不到太平。”他的奏疏一出来,朝中议论都认为他说得对。光宗即位,起用为太常少卿。过了几个月,授官左都御史,他慷慨激昂把治理国家作为自己的职责。天启三年考核在京官员,因原给事中亓诗教、赵兴邦、官应震、吴亮嗣在前朝万历朝)时结党营私、扰乱朝政,赵南星建议罢黜他们。吏科都给事中魏应嘉坚决反对。赵南星就写了一篇《四凶论》,最终与考功郎程正己判定四人为“不谨”。浙江巡按张素养推荐部内的人才,涉及姚宗文、邵辅忠、刘廷元。赵南星弹劾他的谬误,张素养被定罪罚扣俸禄。在此之前,巡抚地方的官员有提拔举荐人才的先例,赵南星已经上奏制止了。而陕西的高弘图、山西的徐扬先、宣大的李思启、河东的刘大受,又按旧例继续实行,赵南星一并上奏弹劾他们,巡抚地方的官员才知道畏惧法令。魏忠贤及其党徒非常憎恨赵南星,每当假传皇帝下诏、告示时,总是把他看作罪魁祸首。把他抓起来关进监狱,判处让赵南星赔偿赃款一万五千两银子,赵南星家一向贫穷,靠亲友捐助才将官司了结。嫡母冯氏、生母李氏,都由于哀痛过度而死。赵南星到达发配地,安然自处。庄烈皇帝登基,下诏赦免让他返京。巡抚牟志夔,是魏忠贤的死党,故意推迟遗还,赵南星最终死在发配的地方。

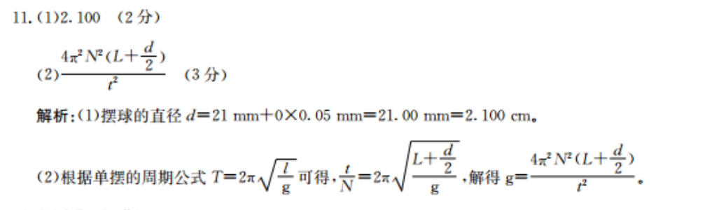
11.(1)2.100(2分)1x2N(L+)(3分)解析:(1)摆球的直径d=21mm+0×0.05mm=21.00mm=2.100cm(2)根据单摆的周期公式T=y可得,=2/×x4r2N2(L+)解得g=g
以上就是英语周报第12单元答案,更多英语周报答案请关注本网站。
本文地址: http://www.ncneedu.cn/post/12702.html
文章来源:admin
版权声明:除非特别标注,否则均为本站原创文章,转载时请以链接形式注明文章出处。
2023-04-05admin
2023-04-05admin
2023-04-05admin
2023-04-05admin
2023-04-05admin
2023-04-05admin
2023-02-24admin
2023-02-24admin
2023-02-24admin
2023-02-24admin
扫码二维码
获取最新动态
