
【答案】C D【解析】根据线面垂直的判定定理与性质定理,结合反证法,二面角的定义判断即可

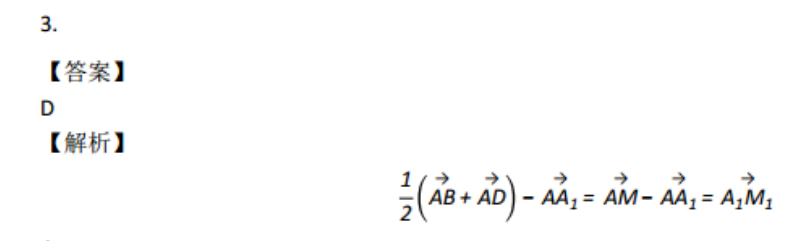
3.【答案】【解析】AB+ AD)-AA,= AM-AA1=A:M1
以上就是2022高三北师大版,英语周报29期。答案,更多英语周报答案请关注本网站。
本文地址: http://www.ncneedu.cn/post/12565.html
文章来源:admin
版权声明:除非特别标注,否则均为本站原创文章,转载时请以链接形式注明文章出处。
2023-04-05admin
2023-04-05admin
2023-04-05admin
2023-04-05admin
2023-04-05admin
2023-04-05admin
2023-02-24admin
2023-02-24admin
2023-02-24admin
2023-02-24admin
扫码二维码
获取最新动态
