


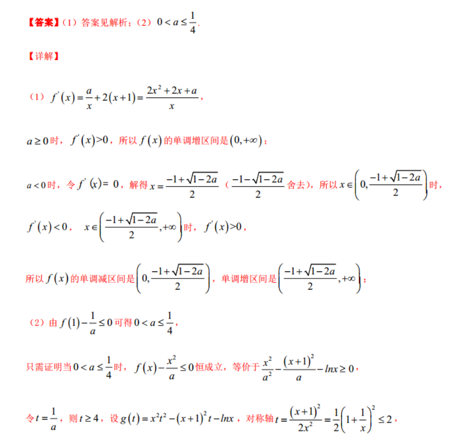
【答案】(1)答案见解析:(2)0 0,所以f(x)的单调增区间是(0,+∞)a<0时,令(x)=0,解得x≈1√-2a(-1l+√1-2a舍去),所以x∈01+√1-2af(x)<0,x∈,+∞时,f(x)>0,2l+√1-21+√1-2所以f(x)的单调减区间是0,单调增区间是(2)由f(1)-≤0可得0

【答案】(1)8年;(2)第7年和第8年,所建安置房面积占当年新建住房面积的比保持不变,理由见解析【详解】(1)设n(n∈N)年内所建安置房面积之和首次不低于3000万m2,依题意,每年新建安置房面积是以200为首项,50为公差的等差数列,从而n年内所建安置房面积之和为200+(n2x50则n(n-1)200n+-2×50≥3000整理得,n2+7n-120≥0,解得n≥8(n≤-15舍去)答:8年内所建安置房面积之和首次不低于3000万m(2)依题意,每年新建住房面积是以500为首项,1.1为公比的等比数列,设第m年所建安置房面积占当年新建住房面积的比为P(m),则p(m)200+50(m-1)m+3500·(1+0.1)m10×1.1m1+4由p(m)=P(m+1)得,m+3解得m=710×1.1m10×1.1m答:第7年和第8年,所建安置房面积占当年新建住房面积的比保持不变
以上就是英语周报九年级新目标zgc第28期答案,更多英语周报答案请关注本网站。
本文地址: http://www.ncneedu.cn/post/12529.html
文章来源:admin
版权声明:除非特别标注,否则均为本站原创文章,转载时请以链接形式注明文章出处。
2023-04-05admin
2023-04-05admin
2023-04-05admin
2023-04-05admin
2023-04-05admin
2023-04-05admin
2023-02-24admin
2023-02-24admin
2023-02-24admin
2023-02-24admin
扫码二维码
获取最新动态
