

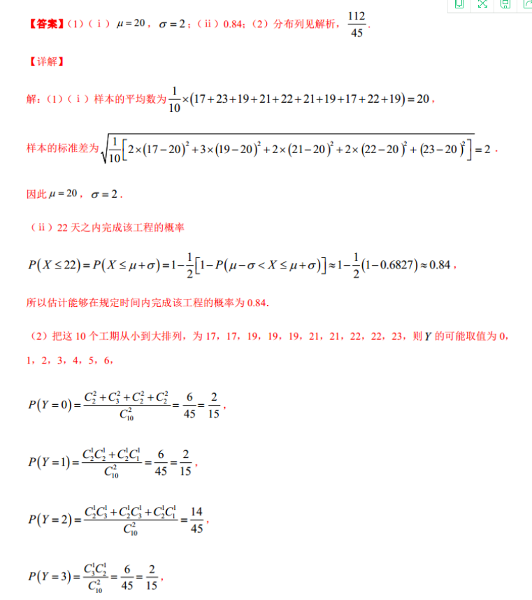
l12【答案】(1)(i)H=20,σ=2;(i)0.84:(2)分布列见解析,【详解解:(1)(i)样本的平均数为×(17+23+19+21+22+21+19+17+22+19)=20,样本的标准差为(02×07-203903132301:2301=2因此=20,=2(i)22天之内完成该工程的概率P(x52)=P(xs+o)=1-2{1-P4-a

选B12.A据题意,得an+1-an=2,所以a2-a1=2,a3a=,"an=2,所以(a2-a1)+(a3-a2)++(an+1-an)=21+22+…+2",所以an+1-4=2(2-1).又a=2,所以am+1=2+1,所以an=2,所1S2=2+2+…+22=2(1-20=2-2.故选A
以上就是2022英语周报八年级新目标JXG版34期答案,更多英语周报答案请关注本网站。
本文地址: http://www.ncneedu.cn/post/12347.html
文章来源:admin
版权声明:除非特别标注,否则均为本站原创文章,转载时请以链接形式注明文章出处。
2023-04-05admin
2023-04-05admin
2023-04-05admin
2023-04-05admin
2023-04-05admin
2023-04-05admin
2023-02-24admin
2023-02-24admin
2023-02-24admin
2023-02-24admin
扫码二维码
获取最新动态
