



20.解:(I)由题意得直线l:mx-y-2m=0过定点T(2,0),(1分)由x2+y2-2x-4y-4=0得(x-1)2+(y-2)2=9因为(2-1)2+(0-2)2<9,所以点T(2,0)在圆E内.(2分)是圆心(1,2)到直线1的距离为d,PQ=232(3分)此时PQ⊥ET,所以m=kpQEr2(4分)此时直线l的方程为x-2y-2=0.(5分)(Ⅱ)证明:因为抛物线过圆E的圆心(1,2)以22=2p,解得p=2所以抛物线的方程为y2=4x6分)由直线h的方程为mx-y-2m=0,可得直线l1:x2,且过定点T(20),(7分)由l1⊥h2可得直线l2:x=-my+2my+2,消x整理得y2+4my-8=0(8分)设点C(x,y),D(x,y2),则yn+y2=-4m,yN则x=2+2m2,即点N(2+2m2,-2m)同理得点(9分)当m≠1时直线MN的斜率k则直线MN的方程为y21所以直线MN的方程为y即直线MN恒过定点(4,0);(11分)当m=1时,N(4,-2),.M(4,2),直线MN的方程为x=4,也过定点(4综上,直线MN恒过定点(4,0).(12分)


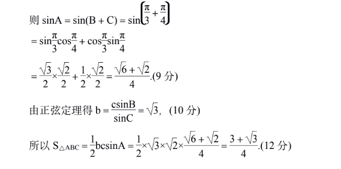
cosC+17.解:(I)因为cosc +-sino则由正弦定理得sinA(2分)由A+B+C=π得 sinbcosc+ sinSing=sin(B+C)= sinbcosc+ cosSing,即 esinBsinc= cosSing、4分)因为sinC#0,故tanB又0
以上就是2022当下,青年群体已成英语周报测试包答案,更多英语周报答案请关注本网站。
本文地址: http://www.ncneedu.cn/post/12118.html
文章来源:admin
版权声明:除非特别标注,否则均为本站原创文章,转载时请以链接形式注明文章出处。
2023-04-05admin
2023-04-05admin
2023-04-05admin
2023-04-05admin
2023-04-05admin
2023-04-05admin
2023-02-24admin
2023-02-24admin
2023-02-24admin
2023-02-24admin
扫码二维码
获取最新动态
