

【语篇导读】本文是新闻报道。在新冠肺炎流行期间,很多居家的人们想起了为了躲避纳粹迫害而到处躲藏的安妮·弗兰克,安妮在日记中表现出的坚强引导人们如何去正确看待居家躲避病毒。28.B【解析】细节理解题。根据第二段中的 The anneFrank Project . is working to feed and fund students inneed可知,安妮·弗兰克项目旨在帮助有困难的学生,为他们提供食物和资金。故选B。29.A【解析】推理判断题。根据第二段中的 Whileare not hiding from the Nazis, we are indeed hidingrom an oppressiveⅵinus.可知,人们在新冠肺炎爆发而居家期间想到安妮是因为他们都要躲着不能外出,一个是躲避纳粹,个是躲避病毒。故选A30C【解析】推理判断题。根据第三段中的whatAnne has offered for decades is an example of npt justtragedy(悲剧), but also strength, kindness and, grace可知,Gsar认为安妮在躲避纳粹期间表现得非常坚强。故选C。31.D,【解析】细节理解题。根据第四段内容可知,Ruth franklin建议人们在与疫情斗争的困难时期记录下自己生活的点滴。故选D。

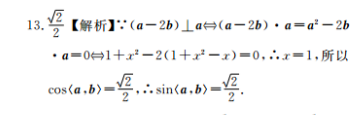
√213.÷【解析】∵(a-2b)⊥a台(a-2b)·a=a2-2b·a=0曰1+x2-2(1+x2-x)=0,∴x=1,所以cos(a, b)√2∴sin(a,b√2
以上就是2022英语周报八年级新目标CDX第3期答案,更多英语周报答案请关注本网站。
本文地址: http://www.ncneedu.cn/post/12031.html
文章来源:admin
版权声明:除非特别标注,否则均为本站原创文章,转载时请以链接形式注明文章出处。
2023-04-05admin
2023-04-05admin
2023-04-05admin
2023-04-05admin
2023-04-05admin
2023-04-05admin
2023-02-24admin
2023-02-24admin
2023-02-24admin
2023-02-24admin
扫码二维码
获取最新动态
