
(1)①规律是事物运动过程中固有的本质的、必然的、稳定的联系。(1分)②规律的普遍性和客观性要求我们必须尊重规律,按客观规律办事,而不能违肯规律。且违背规律,必然受到规律的惩罚。水环境有其同有的循环规律,人类活动必须遵循规律。近几年,受人们违背客观规律的多种活动的综合影响,导致长江流域生态环境急剧恶化。(2分)(2)①矛盾就是对立统一,长远利益和眼前利益是对立统一的关系。(1分)②一方面,长远利益和眼前利益存在一定的对立(斗争性)。禁渔为了长远利益,会在定程度上影响相关主体的眼前利益;而只顾眼前利益过度捕捞,转化为无鱼可捞,就会丧失长远利益。(1分)自③另一方面,长远利益和眼前利益又是统一的(同一性)。适当限制眼前利益而禁渔能够获得更多的长远利益。(1分)

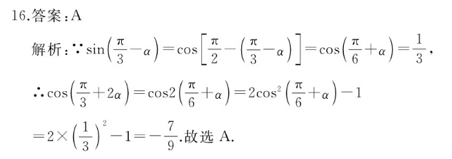
16.答案:A解析COSCOST9故选A
以上就是2022高一必修3英语周报29期外研版答案,更多英语周报答案请关注本网站。
本文地址: http://www.ncneedu.cn/post/12002.html
文章来源:admin
版权声明:除非特别标注,否则均为本站原创文章,转载时请以链接形式注明文章出处。
2023-04-05admin
2023-04-05admin
2023-04-05admin
2023-04-05admin
2023-04-05admin
2023-04-05admin
2023-02-24admin
2023-02-24admin
2023-02-24admin
2023-02-24admin
扫码二维码
获取最新动态
