
23答案:CAB解析:OP-OA=入AB cosBAC cosC)ABACAP=入BCOSAC cosCBC·ABBC·ACBC·AP=AB cosB AC cosCBC AB cos(I-B)BCL cosCLAB cosBAC cosCA(-|BC|+|BC|)=0,所以BC⊥AP动点P在BC的高线上,动点P的轨迹一定通过△ABC的垂故选C


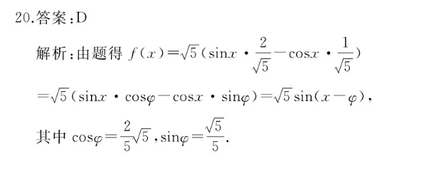
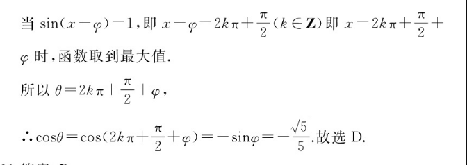
20.答案:D解析:由题得/(x)=(imx.2cOsZ√5(sinx:cosg-cosx·sing)其中cos9-5- N5, SIng当sin(x-g)=1,即x-g=2kx+(k∈)即x=2kx++g时,函数取到最大值所以0=2kx+十coso=cos(2kIttoto)=-sinc故选D
以上就是2022九年级外研HFW英语周报课课练。答案,更多英语周报答案请关注本网站。
本文地址: http://www.ncneedu.cn/post/12001.html
文章来源:admin
版权声明:除非特别标注,否则均为本站原创文章,转载时请以链接形式注明文章出处。
2023-04-05admin
2023-04-05admin
2023-04-05admin
2023-04-05admin
2023-04-05admin
2023-04-05admin
2023-02-24admin
2023-02-24admin
2023-02-24admin
2023-02-24admin
扫码二维码
获取最新动态
