


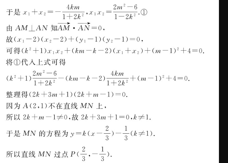
12.(1)由题设得b21,解得6,b2所以C的方程为+=1(2)设M(x1,y1),N(x2,y2)若直线MN与x轴不垂直,设直线MN的方程为y=kx+m,代入1得(1+2k2)x2+4kmx+26=0于是x1+x24km. I1 21+2k21-2k由AM⊥AN知AM·AN=0,故(x1-2)(x2-2)+(y1-1)(y2-1)=0可得(k2+1)x1x2+(km-k-2)(x1+x2)+(m-1)2+4=0将①代入上式可得4km(k2+1)1+2b2-(km-k-2)(m-1)2+4=01+2k整理得(2k+3m+1)(2k+m-1)=0因为A(2,1)不在直线MN上,所以2k+m-1≠0,故2k+3m+1=0,k≠于是MN的方程为y=k(x-2)-(k≠1)所以直线MN过点P(,一)直线MN与x轴垂直,可得N(x1,-y1)由AM·AN=0得(x1-2)(x1-2)+(y1-1)(-y1-1)=0又-+一=1,可得3x2-8x1+4=0解得x1=2(舍去),x此时直线MN过点P(令Q为AP的中点,即Q(4,1)若D与P不重合,则由题设知AP是Rt△ADP的斜边,故|DQAP若D与P重合,则DQ|=1AP综上,存在点Q(使得|DQ为定值

A(A项,“眼光”错误。一切都是“我”故意设计的,并非是“我”看到了事物发展的趋势,可以是有“头脑”,而非有“眼光”。故选A。)8.(1)这一定是卡波恩星球上的居民们在N先生临走的时候悄悄地把这种跳蚤放到了他的身上。(2)前文有“也许这不过是出于某种巧合吧。但是,我再仔细一想”。“我”一开始以为只是一种巧合,接着用“但是”一转,表示否定了“巧合”的猜想,那就应该是故意的。根据上文情节,N先生从卡波恩星球回来且带着白色粉末。这样看来,就一定是卡波恩星球上的居民在N先生临走的时候悄悄地把这种跳蚤放到了他的身上9.(1)新颖巧妙是从构思方面来说的。文章为故事设置了星际贸易的背景,解决娱乐球滞销问题的办法是只有娱乐球才能解决的蛇患,而且N先生被人偷偷放了跳蚤,使其在地球泛滥,这也是卡波恩星球解决滞销的办法。这样设计精巧,新颖巧妙。(2)隽永深刻是从主题角度来说的。本文通过精巧的构思,以荒诞的情节,讽刺了某些商人唯利是图,不惜给消费者带来伤害的不良现象。主题深刻隽永。令人回味无穷。
以上就是九年级新目标,英语周报上册第一答案,更多英语周报答案请关注本网站。
本文地址: http://www.ncneedu.cn/post/11981.html
文章来源:admin
版权声明:除非特别标注,否则均为本站原创文章,转载时请以链接形式注明文章出处。
2023-04-05admin
2023-04-05admin
2023-04-05admin
2023-04-05admin
2023-04-05admin
2023-04-05admin
2023-02-24admin
2023-02-24admin
2023-02-24admin
2023-02-24admin
扫码二维码
获取最新动态
