

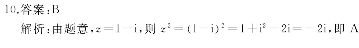
10.答案:B解析:由题意,z=1-i,则z2=(1-i)2=1+12-2i=-2i,即A错误i,即.是纯虚数,B正确12+(-1)2=√2,即C错误;i(z+i)=i(1-i+i)=i,即(z十ⅱ)不是实数,即D错误故选B

8.答案:Cy=解析:由题意,A∩B中的元素满足且x,y∈Nx+y=8由x+y=8≥2x,得x≤4,所以满足x+y=8的有(1,7),(2,6),(3,5),(4,4),故A∩B中元素的个数为4.故选:C
以上就是2022英语周报八年级第一二十八期答案,更多英语周报答案请关注本网站。
本文地址: http://www.ncneedu.cn/post/11957.html
文章来源:admin
版权声明:除非特别标注,否则均为本站原创文章,转载时请以链接形式注明文章出处。
2023-04-05admin
2023-04-05admin
2023-04-05admin
2023-04-05admin
2023-04-05admin
2023-04-05admin
2023-02-24admin
2023-02-24admin
2023-02-24admin
2023-02-24admin
扫码二维码
获取最新动态
