

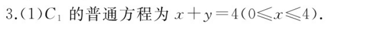
3.(1)C1的普通方程为x+y=4(0≤x≤4)由C2的参数方程得所以故C2的普通方程为x2-y2=4x+y=4(2)由得所以P的直角坐标为(设所求圆的圆心的直角坐标为(x0,0),由题意得)2+,解得4因此,所求圆的极坐标方程为P=50s.


1.(1)由题设知f(x)5x-1131y=f(x)的图像如图所示(2)函数y=f(x)的图像向左平移1个单位长度后得到函数y=f(x+1)的图像y=f(x)的图像与y=f(x+1)的图像的交点坐标为由图像可知当且仅当x7f(x)的图像在y=f(x+1)的图像上方故不等式f(x)>f(x+1)的解集为(-∞
以上就是2022英语周报高三课标I41期短文改错答案,更多英语周报答案请关注本网站。
本文地址: http://www.ncneedu.cn/post/11897.html
文章来源:admin
版权声明:除非特别标注,否则均为本站原创文章,转载时请以链接形式注明文章出处。
2023-04-05admin
2023-04-05admin
2023-04-05admin
2023-04-05admin
2023-04-05admin
2023-04-05admin
2023-02-24admin
2023-02-24admin
2023-02-24admin
2023-02-24admin
扫码二维码
获取最新动态
