
21-23BCC

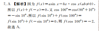
7.A【解析】因为∫(x)= asin 7- hr cos r(ab≠0),所以f(x)+f(-x)=0,又cos100°=cos(90°+10°)sin10°,所以f(sin10°)+f(cos100°)=f(sin10°)+f(-sin10°)=0,则f(cos100°)=-2.故选A
以上就是2022英语周报九年级下册第37期答案,更多英语周报答案请关注本网站。
本文地址: http://www.ncneedu.cn/post/1189.html
文章来源:admin
版权声明:除非特别标注,否则均为本站原创文章,转载时请以链接形式注明文章出处。
2023-04-05admin
2023-04-05admin
2023-04-05admin
2023-04-05admin
2023-04-05admin
2023-04-05admin
2023-02-24admin
2023-02-24admin
2023-02-24admin
2023-02-24admin
扫码二维码
获取最新动态
