

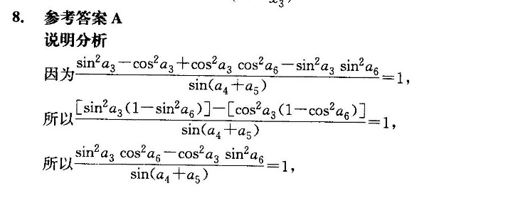
8.参考答案A说明分析sin2a因为3 coS a3 tcos a3 cos"a6--S1SIna(a4+a)所以sin2a3(1cos asIn(aSIn a? cos-acos-a。sln2a所以sinla,ta)所以(sin a3cos a6 s as sin as )(sin a3 cos as tcos asin as)\.所以sna3a)sma3+a)=1因为(an}为等差数列所以a3+a6=a4+a5,所以sin(a3-a6)=1所以sn(-3d)=1,所以-3d=2x+,k∈Z,所以d=-36k∈Z因为d∈(=1,0),所以k=0,d=-6因为当且仅当n=9时,an}的前n项和取得最大值所以a2>0,10,所以a1+8d>.1+<0,所以1->01-32,即

24-27 CDAB
以上就是英语周报2019一2022八年级新口二答案,更多英语周报答案请关注本网站。
本文地址: http://www.ncneedu.cn/post/11363.html
文章来源:admin
版权声明:除非特别标注,否则均为本站原创文章,转载时请以链接形式注明文章出处。
2023-04-05admin
2023-04-05admin
2023-04-05admin
2023-04-05admin
2023-04-05admin
2023-04-05admin
2023-02-24admin
2023-02-24admin
2023-02-24admin
2023-02-24admin
扫码二维码
获取最新动态
