2022-10-07
5.C据题意,得1×2+kx(-3)=0,解得k=号,故选C. 17.(1)甲(1分)H2C2O4·2H2O=3H2O+CO↑十CO2↑(1分)冷凝草酸蒸气,避免对二氧化碳的检验产生于扰(1分)C0有毒,缺少尾气处理装置(1分)(2)HCO:+ H;C: O. HC2 O*+CO:1+H:O(1分)(3)反应产生的锰离子起催化作用,加快了反应速率(1分)5H2C2O4+2MnO4+
2022-10-07
6.C【解析】在(2x展开式中的常数项满足C(-2)‘+C×2×C}(-1)×(-2)2C72(-1)2=-56.故选C 13.480【解析】AA3=480 以上就是2021-2022 英语周报 高三 第一轮答案,更多英语周报答案请关注本网站。
2022-10-07
1D(李大钊和陈独秀属于先进知识分子,不是广大民众的典范:他们的思想转变,只是说明他们意识到了要推动民众觉醒,不是民众觉醒的直接事例。)2B(有的农民形象经过作者的艺术加工虽然变得高大,但读来依然鲜活可信,是因为他们仍然有朴实的精神追求和世俗的喜怒哀乐,并非不食人间烟火。)3,B(材料中有关红色经典的阐释是“共和国前期,以描写人民革命斗争历史为主,并产生过重要影响的文艺作品”,结合年代、
2022-10-07
第一部分阅读【语篇类型】应用文【主题语境】人与社会——性氏起源【文章大意】本文介绍了英国几个不同寻常的姓氏以及它们的特定背景和来源。核心素养】语篇通过介绍英国的几亼不冋寻常的姓氏,帮助考生了解英国的姓氏起源,开阔考生的文化视野,促进考生文化意识的提升間背景知识》英国人在历史上很长一段时间里只有名字而没有姓氏,直到16世纪,姓氏的使用才广泛流行开来。英国的姓氏来源有很多,主要与居住地、职业
2022-10-07
22.【写作指导英雄精神就是民族精神,如何评价英雄,如何看待英烈,反映的是核心价值观,体现的是时代的精气神。对光辉历史的铭记、对英烈的怀念和崇敬,是我们砥砺前行中强有力的鼓舞、鞭策和激励,也是我们义不容辞的责任和使命。题目给了三则材料,三则材料层次感强,角度多元。第一则讲述了四川凉山灭火英雄的故事,告诉我们要铭记英雄致敬英雄;第二则借郁达夫的话告诉我们应当敬重爱惜英雄;第三则说明英雄对一
2022-10-07
race42. increasingly43, of44accuracy45. checking46 themselves47 recognized/ recognised 48suggestions9. whether50.an 【语篇导读】本文是一篇说明文。文章主要叙述加利福尼亚州高大树木数量减少的现状并且分析了原因。8.A【解析】段落大意题。根据第二段可以看出高太树木的数量锐
2022-10-07
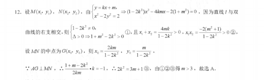
12.设M(x,y1),N(x2,y2),由x2-2y2,→0-2k2)x2-4kmx-201+m)=0,因为直线与双曲线的右支相交,则①,且x+x2=△>0=1+m2-2k2>024>0,2(m2+1),0②设MN的中点为G(x,y),则x。121-2AG⊥MN,∴I+n=-1,∴2k2=3m+1③,由①②③得m>3,故选A2kn 3.B【解析】蛋糕上每
2022-10-07
【语篇导读】本文是一篇议论文。自欧盟出台家电强制环保规定以来家电的能耗逐年下降。作者认为也应在食品上加入强制环保标识,以降低食品零售业的能耗5B推理判断题。第一段中作者先描绘了在欧洲购买家电的情景,由此引出1992年欧盟出台的针对家电的强制环保标识,随即设问,“为何不在食品上也加上类似的环保标识?”由此可知,作者在第一段中提到洗衣机、冰箱、电视机这些家电是为了引出给食品加环保标识的话题,
2022-10-07
25.(20分)解:(1)撤去恒力F之后,小物块受到重力,斜面的支持力和沿斜面向下的摩擦力∥sln37°+anglos37=ma1(1分)解得a1=10m/s2(1分)小物块在BC斜面上受重力,斜面支持力和沿斜面向上的摩擦力EngiN37°- mungos37°=ma2(1分)解得a2=2m/s2(1分)(2)小物块在恒力F作用下沿AB斜面加速向上运动时加速度为aF-( gsin37°+
2022-10-07
18.B【解析】盐硫地植被较少,生产者同化量较低,人为恢复生态系统时需向生态系统榆入物质和能量,A正确;随着群落的演替,群落的结构趋于复杂化,营养綴欹目增多,食物链不会縮短,而能量的侍效率为10%~20%,与食物链长短无关,B错误;生态系统功能的恢复使得生态系统中生物群落的营养结构更加复杂,因而有利于提高生态系统的稳定性C正确;盐碱化草地的改造过程,随着群落的演替,草地的物种丰富度发生了
2023-04-05admin
2023-04-05admin
2023-04-05admin
2023-04-05admin
2023-04-05admin
2023-04-05admin
2023-02-24admin
2023-02-24admin
2023-02-24admin
2023-02-24admin
扫码二维码
获取最新动态
